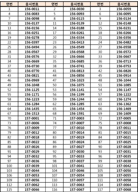
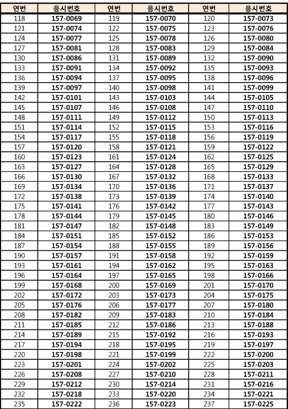
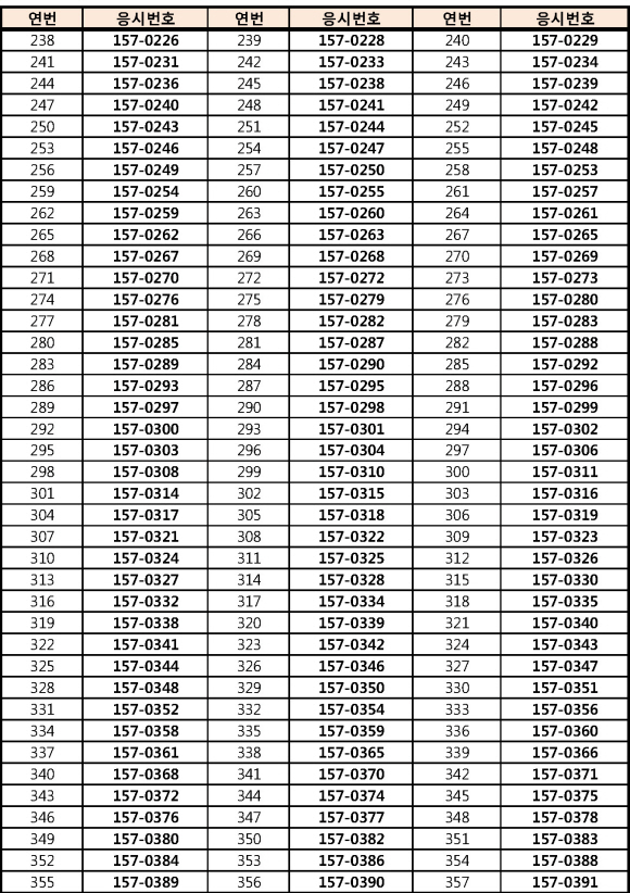
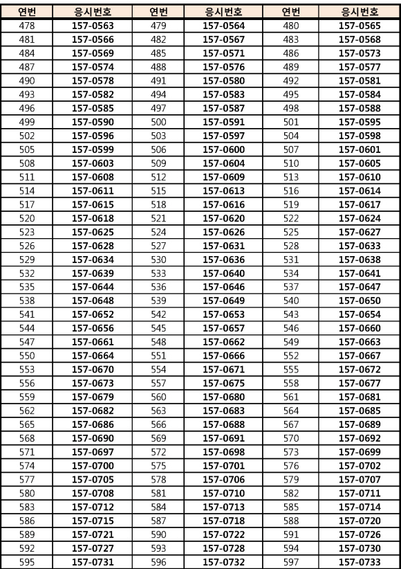
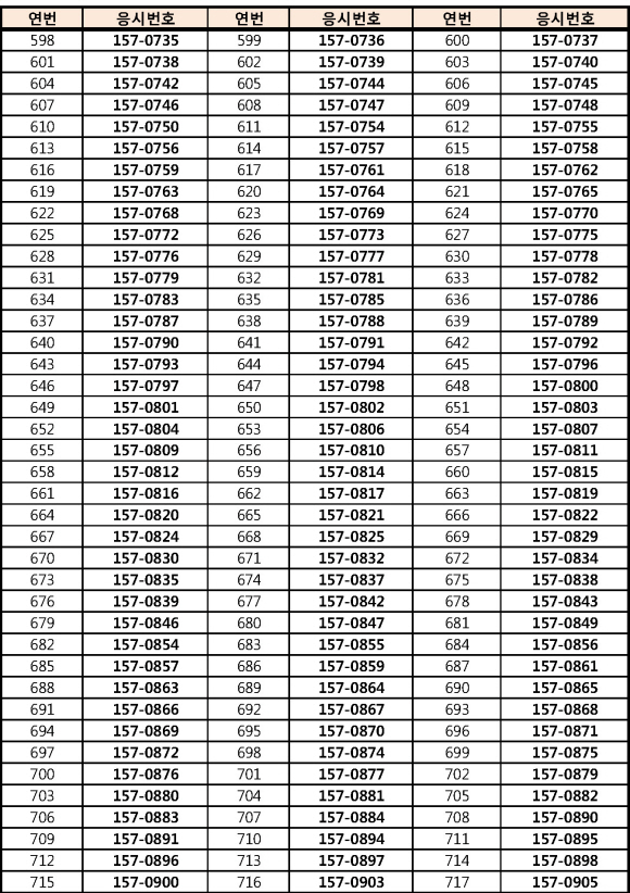
(조세금융신문=김사선 기자) 금융위원회 및 금융감독원은 지난 6월 실시한 '2015년도 제50회 공인회계사시험' 최종합격자 917명의 명단을 27일 발표했다.
다음은 공인회계사 합격자 명단









[조세금융신문(tfmedia.co.kr), 무단전재 및 재배포 금지]
(조세금융신문=김사선 기자) 금융위원회 및 금융감독원은 지난 6월 실시한 '2015년도 제50회 공인회계사시험' 최종합격자 917명의 명단을 27일 발표했다.
다음은 공인회계사 합격자 명단









[조세금융신문(tfmedia.co.kr), 무단전재 및 재배포 금지]